首页 > 游戏攻略 >2021考研数学二答案解析-2021考研数学二真题及答案详解

2021考研数学二答案解析-2021考研数学二真题及答案详解

2024-10-17 19:10:50板才软件园

2020年全国硕士研究生统一入学考试目前已经结束了,每次考试结束大家总想着能够核对一下答案在心底给自己做一个估算,所以接下来全球手游网小编就给大家整理了2021考研数学二真题及答案详解,有需要的小伙伴一起看看吧。

数学二 ** 英语一

2021年考研数学二答案解析

2021考研数学二真题及答案详解

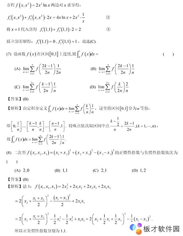
选择题1-3

2021年考研数学二答案解析

选择题4-6

2021年考研数学二答案解析

选择题7-8

2021年考研数学二答案解析

选择题9-10

2021年考研数学二答案解析

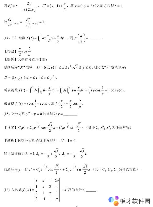
填空题11-13

2021年考研数学二答案解析

填空题14-16

2021年考研数学二答案解析

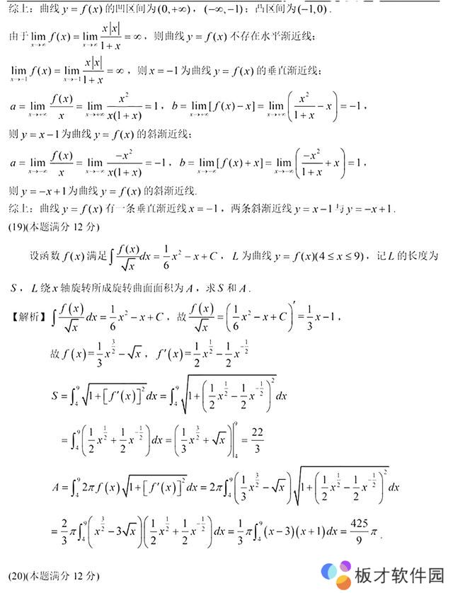
解答题17-18

2021年考研数学二答案解析

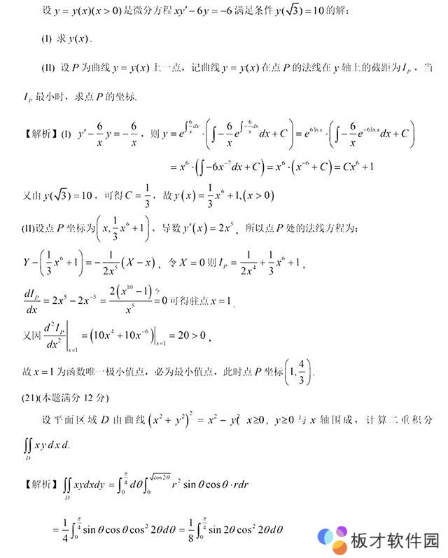
解答题19-20

2021年考研数学二答案解析

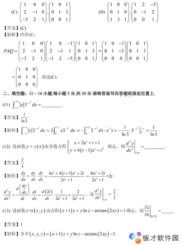
解答题21

2021年考研数学二答案解析

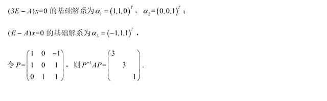
解答题22

2021年考研数学二答案解析

解答题22解析

2021年考研数学二答案解析

以上就是圈圈下载小编给大家带来的关于2021年考研数学二答案解析全部内容,更多精彩内容请关注圈圈下载手游网,小编将持续更新更多相关攻略。

声明:本文内容及配图由入驻作者撰写或者入驻合作网站授权转载。文章观点仅代表作者本人,不代表本站立场。文章及其配图仅供学习分享之

7334
684

同类推荐更多

为什么“啊┅┅快┅┅用力啊小熊视频”如此受欢迎?揭秘视频背后的秘密与创作方式

为什么“啊┅┅快┅┅用力啊小熊视频”如此受欢迎?揭秘视频背后的秘密与创作方式

最火的游戏攻略

2025-02-10

在互联网时代,各种有趣、搞笑的视频内容层出不穷。近期,一段名为“啊┅┅快┅┅用力啊小熊视频”在网络上引发了广泛关注。许多人被视频中的情节和画面吸引,而这个视频背后也有它独特的魅力。视频的内容虽然简单,但却能够勾起观众的好奇心和笑点。接下来,我们一起来分析一下这段视频的受欢迎原因。 视频内容的吸引力 “啊┅┅快┅┅用力啊小熊视频”表面上看似普通,实际上它通过幽默的场景和夸张的表现手法引起了观众的关